Short-term and long-term effects of acute kidney injury in chronic kidney disease patients - A longitudinal analysis

Image credit: Unsplash

Abstract

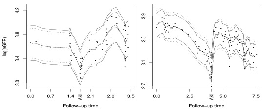
We use data from an ongoing cohort study of chronic kidney patients at Salford Royal NHS Foundation Trust, Greater Manchester, United Kingdom, to investigate the influence of acute kidney injury (AKI) on the subsequent rate of change of kidney function amongst patients already diagnosed with chronic kidney disease (CKD). We use a linear mixed effects modelling framework to enable estimation of both acute and chronic effects of AKI events on kidney function. We model the fixed effects by a piece-wise linear function with three change-points to capture the acute changes in kidney function that characterise an AKI event, and the random effects by the sum of three components - a random intercept, a stationary stochastic process with Matern correlation structure, and measurement error. We consider both multivariate Normal and multivariate t versions of the random effects. For either specification, we estimate model parameters by maximum likelihood and evaluate the plug-in predictive distributions of the random effects given the data. We find that following an AKI event the average long-term rate of decline in kidney function is almost doubled, regardless of the severity of the event. We also identify and present examples of individual patients whose kidney function trajectories diverge substantially from the population-average.

Publication
Biometrical Journal, 1(1)
Click the Cite button above to demo the feature to enable visitors to import publication metadata into their reference management software.
Click the Slides button above to demo Academic’s Markdown slides feature.

Supplementary notes can be added here, including code and math.

Avatar